SIP Calculator

“Smart math for smarter investors. Calculate your future net worth with professional-grade accuracy in seconds.”

SIP Calculator

Total Value $0
Invested Capital
$0
Wealth Gain
$0
Total Future Value $0

Wealth Projection Matrix

Year Total Invested Future Value Wealth Gains

The Advanced SIP + Lumpsum Calculator
(A Free Tool)

Take control of your financial future with the most advanced, free SIP calculator featuring custom inflation adjustments, expense ratios, and a comprehensive wealth projection matrix.

Building wealth doesn’t require perfectly timing the stock market or having a massive inheritance. Instead, it relies on consistency, time, and the mathematical magic of compound interest. Whether you are funding a retirement account, saving for a down payment, or simply building a robust financial safety net, automating your investments is the most proven strategy to achieve your goals.

To help you map out this journey, we have developed a premium, highly accurate Free SIP Calculator. Unlike basic tools that only calculate raw compound interest, our advanced tool factors in the real-world variables that actually impact your wealth. It is incredibly comprehensive, yet very easy to use and completely FREE to use for all investors.

Below, we cover everything you need to know about Systematic Investment Plans (SIPs), how to use this tool, and why accounting for hidden costs like inflation and fund fees is critical to your financial success.


What is a Systematic Investment Plan (SIP)?

A Systematic Investment Plan, commonly referred to as an SIP, is a highly disciplined investment strategy where you commit to investing a fixed dollar amount at regular intervals—typically every month—into a mutual fund, Exchange Traded Fund (ETF), or index fund.

Instead of waiting to accumulate a large lump sum of money to invest all at once, an SIP allows you to put your money to work immediately. This strategy inherently utilizes a concept known as Dollar-Cost Averaging. When the markets are down, your fixed monthly contribution automatically buys more shares of your chosen fund. When the markets are up, it buys fewer shares. Over time, this smooths out the average cost per share, mitigating the risks associated with market volatility and removing the emotional stress of trying to “time the market.”

Who Should Use a Systematic Investment Plan?

The beauty of an SIP is its universal applicability. This strategy is ideal for:

  • New Investors: If you are just starting and don’t have a large capital base, an SIP allows you to start investing with as little as $50 or $100 a month.
  • Busy Professionals: For those who do not have the time to analyze stock charts daily, automating your investments puts your wealth creation on autopilot.
  • Retirement Planners: Investors building their 401(k) or IRA balances rely heavily on systematic monthly contributions to hit their long-term target numbers.
  • Risk-Averse Individuals: By spreading investments out over time, you avoid the risk of deploying a massive lump sum the day before a market correction.

When Should You Start an SIP?

The mathematical answer is always: Right now. Because SIPs rely heavily on compound interest—where your returns generate their own returns—time is your greatest asset. Waiting five years to “figure out the market” can cost you hundreds of thousands of dollars in future wealth. The best time to plant a tree was twenty years ago; the second best time is today.


What Makes This Free SIP Calculator Unique?

While there are dozens of financial calculators online, most of them give you an overly optimistic, deeply flawed view of your future wealth. They assume zero fees and zero inflation. We built this tool to reflect reality.

Our Free SIP Calculator is a premium-grade application that requires zero subscriptions. It is very easy to use and FREE to use for anyone wanting to take their financial planning seriously.

Here is what sets our calculator apart:

1. Fully Customized for Real-World Variables

Standard calculators take your monthly investment, apply a flat return rate, and spit out a massive number. But in the real world, your investments are managed by fund providers who charge fees, and your future purchasing power is eroded by inflation.

This is why we built a Free SIP Calculator with “Expense Ratio (%)” rate and “Inflation Adj (%)” capabilities.

  • The Expense Ratio automatically deducts the management fees charged by your mutual funds or ETFs from your gross return, giving you your true net return rate.
  • The Inflation Adjustment calculates what your future multi-million-dollar portfolio will actually be worth in today’s purchasing power.

2. The Wealth Projection Matrix

Planning for the future isn’t just about knowing what you will have in 30 years; it’s about seeing the milestones along the way. One of the most powerful features of our tool is that this Free SIP Calculator is with projected return for different-different time periods in one go.

Instead of forcing you to change the “Years” slider repeatedly to see your 5-year, 10-year, and 20-year outlook, our tool automatically generates a beautiful, centralized matrix. Instantly, you can see your invested capital, total returns, and future value at every major milestone from Year 1 to Year 50.


How to Use the Free SIP Calculator

We designed this tool to be incredibly intuitive. You don’t need a degree in finance to get professional-grade projections. Just follow these simple steps:

  1. Monthly SIP ($): Enter the amount of money you plan to automatically invest every single month. Whether it is $100 or $5,000, consistency is the key.
  2. Initial Lumpsum ($): If you already have existing capital invested, or if you are starting your SIP journey with a large initial deposit, enter it here. If you are starting from zero, simply leave this at $0.
  3. Expected Return (%): Input the annualized rate of return you expect your portfolio to generate. Historically, broad US market index funds (like the S&P 500) have returned an average of 9% to 10% annually before inflation.
  4. Investment Tenure (Years): How long do you plan to keep investing? Use the slider or input box to set your time horizon. Remember, compounding accelerates dramatically in the later years.
  5. Expense Ratio (%) – Optional: This is where our calculator shines. Look up the expense ratio of the ETF or mutual fund you are buying (e.g., Vanguard’s VOO might be 0.03%, while an actively managed fund might be 0.75%). Enter that percentage here, and the calculator will automatically adjust your net returns.
  6. Inflation Adj (%) – Optional: To see your real purchasing power, enter the average expected inflation rate. The Federal Reserve targets 2% to 3% long-term. Entering this will generate an additional “Inflation Adjusted Value” at the bottom of your results.

Once your inputs are set, the calculator instantly updates in real-time, providing a visually stunning Donut Chart of your wealth breakdown, your exact profit margins, and your comprehensive Wealth Projection Matrix.


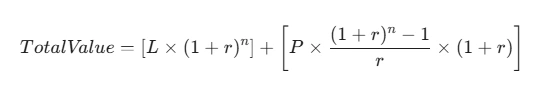
The Formula for Wealth

We use the compound interest formula for both the initial deposit and the recurring payments:

SIP Calculator (Systematic Investment Plan) Calculation Formula

Where L is your Lumpsum, P is your monthly payment, r is the monthly rate, and n is the total months.

A smiling, empowered woman viewing her growing wealth chart on a tablet, symbolizing the success found by using an advanced SIP calculator.
Your journey from monthly savings to a future fortune starts with a single calculation.

Why You Must Use a Free SIP Calculator

Financial planning without projection is just guessing. Utilizing our Free SIP Calculator provides several massive psychological and strategic advantages:

  • Setting Realistic Baselines: It helps you reverse-engineer your goals. If you know you need $2,000,000 to retire in 25 years, you can use the calculator to figure out exactly how much you need to contribute monthly to get there based on an 8% return.
  • Visualizing the Math: Human brains are not wired to understand exponential growth naturally. Seeing that $500 a month for 30 years at 10% turns $180,000 of your own money into over $1.1 million is the ultimate motivation to stay disciplined.
  • Understanding the Drag of Fees: By using our Free SIP Calculator with “Expense Ratio (%)” rate and “Inflation Adj (%)”, you will instantly see how a seemingly harmless 1% management fee can eat hundreds of thousands of dollars of your final portfolio value. This encourages you to seek out low-cost index funds.

Frequently Asked Questions (FAQs)

What is the best expected return rate to use in an SIP calculator?

For long-term equity investments in broad US market index funds, a historically safe estimate is 8% to 10% gross annual return. If you have a more conservative portfolio heavily weighted in bonds, you may want to lower this estimate to 5% to 6%. Always remember that past performance does not guarantee future results.

How does the Expense Ratio affect my SIP returns?

An expense ratio is the annual fee charged by mutual funds or ETFs to cover management and administrative costs. Even a small fee, like 0.75%, drastically reduces your compound interest over decades. Our calculator subtracts this fee from your gross expected return to give you an accurate, net-of-fees projection.

Why is the Inflation Adjusted Value much lower than my Future Value?

Inflation reduces the purchasing power of money over time. A million dollars in 30 years will not buy the same amount of goods as a million dollars today. By entering an inflation rate (typically 2.5% to 3%), the calculator discounts your total future value to show you what your future wealth will actually feel like in today’s money.

Does this calculator assume monthly or annual compounding?

Our SIP calculator assumes that your investments are made at a monthly frequency and compounds the interest accordingly to provide the most highly accurate projection of a standard automated investing plan.

Is this calculator truly free to use? Yes, our advanced financial tool is 100% FREE to use. There are no hidden paywalls, no email sign-ups required, and no limits on how many calculations you can run.